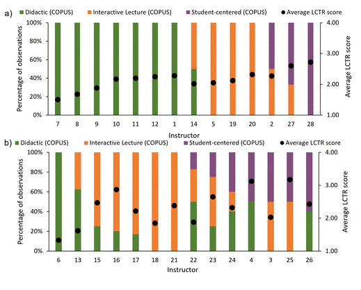
Shi, L., Popova, M., Erdmann, R., Pellegrini, A., Le, B., Johnson, V., Nelson, T., Nelson, Z., Undersander, M., Stains, M.; Exploring the complementarity of measures of instructional practices.
CBE-Life Science Education, 2022, 22:ar1, 1–9
Posted on December 13, 2022
Shi, L., Popova, M., Erdmann, R., Pellegrini, A., Le, B., Johnson, V., Nelson, T., Nelson, Z., Undersander, M., Stains, M.; Exploring the complementarity of measures of instructional practices.
CBE-Life Science Education, 2022, 22:ar1, 1–9